网站首页 行业快讯 > 正文
从1加到100(将数字1加到100的几种技巧)
有个流行的故事说,著名的数学家高斯有个懒惰的老师。所谓的老师想让孩子们忙些,这样他就可以睡个午觉,因此他要求全班学生计算数字1加到100。

高斯回答了他:5050。算的非常快,老师怀疑是作弊的,高斯当然没有!手动1加到100是笨拙的,高斯发现了一个避免该问题的公式:


让我们分享一些有关此结果的解释,并以直观的方式真正理解它。对于这些示例,我们将添加1到10,然后查看它如何应用于1到100(或1到任何数字)。
技术1:配对数字
配对数字是解决此问题的常用方法。与其将所有数字写在单个列中,不如将它们环绕起来,如下所示:
1 2 3 4 5
10 9 8 7 6
出现了一个有趣的模式:每列的总和为11。随着上排数字的增加,下排数字的减少,每列总和保持不变。
因为1与10(我们的n)配对,所以可以说每一列都有(n + 1)。我们有几对?我们有2个相等的行,我们有n / 2对。

这就是上面高斯的公式。
那奇数个项目呢?
啊,很高兴您提出来。如果我们将数字1到9相加怎么办?我们没有偶数的项目要配对。
让我们将数字1加上9,而不是从1开始,让我们从0开始计数:
0 1 2 3 4
9 8 7 6 5
通过从0开始计数,我们得到一个"额外项目"(总共10个),因此我们可以得到偶数行。但是,我们的公式看起来会有所不同。
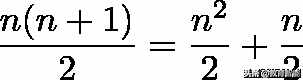
请注意,由于将0和9分到一组,所以每一列的总和为n(而不是像之前一样n + 1);我们在2行中有n +1个项,总计(n + 1)/ 2对(而不是在2行中有正好n个项,总共n / 2对)。如果您插入这些数字,您将获得:

与以前的公式相同!相同的公式对奇数和偶数都有效!
技术2:使用两行
上面的方法有效,但是您对奇数和偶数的处理方式不同,需要分别处理。那有没有更好的方法?有。
让我们将它们写在两行中,而不是四处循环:
1 2 3 4 5 6 7 8 9 10
10 9 8 7 6 5 4 3 2 1
请注意,我们有10对,每对加起来为10 + 1,每列的总和为11。
上面所有数字的总和是

但是我们只想要一行的总和,而不是两行。因此我们将上面的公式除以2得到:

现在这很酷(就像数字行一样酷)。它适用于奇数或偶数个相同的项目!
方法3:制作矩形
这是对旧配对解释的一种新方法。不同的解释对不同的人更有效,而我倾向于更喜欢这一解释。假设我们用豆子(用x表示),而不是写数字。我们想将1粒豆加到2粒豆到3粒豆…一直到5粒豆。

当然,我们可以选择10或100粒豆子,但是5粒就可以了。我们如何计算三角中的豆子数量?
好吧,总和显然是1 + 2 + 3 + 4 +5。但是让我们以不同的方式来看待它。假设我们镜像了三角形(镜像的豆我将使用" o"),然后将其翻转:

酷吧?变成了一个矩阵队伍。看一下矩阵的底行,它有5个x和1个 o。上一行减少了1个x(总计4个)和增加了1个o(总计2个)。就像配对一样,一侧在增加,而另一侧正在减少。
现在进行解释:我们总共有多少个豆子?好吧,这就是矩形的面积。
我们有n行(我们没有更改矩形中的行数),我们的集合的宽度为(n + 1)个单位,因为1个" o"与所有" x"都配对了。

请注意,这一次,我们不在乎n是奇数还是偶数,总面积公式相同。如果n为奇数,则每行中的项目数为偶数(n + 1)。
但是,当然,我们不希望总面积(x和o的数量),而只想要x的数量。由于我们将x加倍以获得o,因此x本身仅占总面积的一半:

我们又回到了原始公式。同样,三角形中x的数量= 1 + 2 + 3 + 4 + 5,或1到n的总和。
技术4:平均化
我们都知道
平均数 = 总数 / 个数
我们可以重写为
总数=平均数*个数
因此,让我们计算总和。如果我们有100个数字(1…100),那么显然我们有100个项目。
要获得平均值,请注意所有数字均等分布。对于每个大数字,另一端都有一个小数字。让我们看一小集:
1 2 3
平均值是2。2已经在中间,1和3"抵消",所以它们的平均值是2。
对于偶数个项目
1 2 3 4
平均介于2到3之间为5。
请注意,在两种情况下,平均值的最左一侧是1,而最右一侧为n。因此,我们可以说整个集合的平均值实际上只是1和n的平均值:(1 + n)/ 2。
将其放入我们的公式中

瞧!我们有第四种方式思考我们的公式。
那为什么有用呢?
三个原因:
1)快速将数字相加可能对预测有用。
请注意,公式扩展为:

计算1加到1000。假设您每天增加1个粉丝访问您的网站,1000天后您将有多少总访问者?由于1000的平方等于100万,我们将得到1000000 / 2 + 1000/2 = 500500的访问量。
2)在其他地方出现这种将数字1加到n的概念,例如弄清楚的可能性。牢牢掌握此公式将有助于您在许多方面进行理解。
3)最重要的是,此示例显示了许多了解公式的方法。也许您喜欢配对方法,也许您更喜欢矩形技术,或者还有另一种适合您的解释。当您不了解时,请不要放弃-尝试找到另一个可行的解释。
版权说明: 本文由用户上传,如有侵权请联系删除!
猜你喜欢:
- 2022-09-20 男人恶心是什么病的前兆(恶心是什么病的前兆)
- 2022-09-20 山东财经大学东方学院考研率怎么样(山东财经大学考研率是多少)
- 2022-09-20 广西最早的大学叫什么大学(在桂林设立的广西最早的大学是哪所大学)
- 2022-09-20 小儿肺炎有5个常见症状吗(小儿肺炎有5个常见症状)
- 2022-09-20 m是哪个服装品牌的标志(标志为M的衣服是什么牌子的)
- 2022-09-20 什么叫正比例什么叫反比例举例说明(什么叫反比例,举个例子说明,)
- 2022-09-20 一包烟要多少根烟丝(一包烟要多少根)
- 2022-09-20 男人吃樱桃对身体有什么好处(男人吃樱桃有什么好处)
最新文章:
- 2023-07-02 怎样挑选新鲜的猪肝?(怎么挑选新鲜猪肝 挑选新鲜猪肝的小技巧)
- 2023-07-02 木地板都有哪些种类(木地板的种类有哪些)
- 2023-07-02 白蜡木家具的优缺点(松木家具的优缺点)
- 2023-07-02 怎么清洗窗帘布上的污垢(怎么清洗窗帘)
- 2023-07-02 世界上最可爱的小仓鼠的样子(可爱小仓鼠的种类)
- 2023-07-02 小猫拉不出来屎怎么办(小猫拉不出屎怎么办)
- 2023-07-02 新飞小冰箱耗电量一天多少度(小冰箱耗电量一天多少度)
- 2023-07-02 公司注销工业房产怎么办手续(公司注销工业房产怎么办)
- 2023-07-02 凤凰层到底好还是不好(凤凰层是哪一层)
- 2023-07-02 马桶宽度空间留多少(马桶两边的空间大小是多少)
- 2023-07-02 如何训练猫咪小便(如何训练猫大小便)
- 2023-07-02 卫生间吊顶防潮层做法图集(卫生间吊顶方法是什么)
- 2023-07-02 狗狗为什么总是流口水怎么办(狗狗为什么爱流口水)
- 2023-07-02 卧室窗户漏水由谁负责维修(卧室窗户漏风怎么办)
- 2023-07-02 世界名猫大全(世界名猫你知道几种)
- 2023-07-02 applewatchseries7和6对比(apple watch series 7和6的区别)
