网站首页百科全书 >正文
手机上怎么查找一个人的位置(手机上怎么查找的位置)
提到卫星导航系统,相信就算对此不了解的人也一定听说过,三颗卫星就能确定一个地面坐标的说法。那么这个说法是如何来的呢?
假设小明在户外活动时候迷了路,于是他打电话报警让警察接他回家,警察告诉他不用着急,会首先通过卫星定位他的手机信号确定他的位置坐标信息,所谓位置坐标信息就是小明此时的(X,Y,Z)的信息。
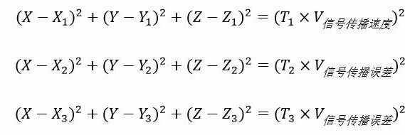
定位原理如图所示:
假设小明此时的位置坐标信息为(X,Y,Z),与小明进行信号通讯的三颗卫星编号分别为卫星1号,卫星2号和卫星3号。这三颗卫星坐标与小明手机发射的信号抵达三颗卫星的时间分别如上图所示,则显然有如下方程成立:


那么到底是哪出了问题呢?小明仔细的研究这个方程组,最后发现,最有可能出问题的地方就是卫星接收到信号的时间。意思就是接收小明信号的三个卫星可能初始时间并不统一,这样造成的后果就是,卫星1以为自己接收到小明信号的时间是5s,实际上可能是2s,卫星2以为自己接收到小明信号的时间可能是1s,实际可能是9s,卫星3以为自己接收到小明信号的时间是4s,实际可能是5s。这种情况是由时钟误差造成,这里不展开,本文仅讲述如何在算法上消除这种误差,很简单,将上述方程的时间作调整,得到新的方程如下:


到了这里,小明就能很快得救了吗?如果真的这样想就大错特错了。因为信号在通过电离层、对流层等区域的时候,会很曲折,这时候又会产生新的传输误差。

你看,本来走直线的信号在经过大气层的时候开始拐弯了,当然了,具体怎么拐的弯我们并不知道,但是误差却产生了。怎么办呢?
小明突然想到在附近貌似有个信号塔,这个信号塔的位置是确定的,而小明通过手机定位这个信号塔,也能够确定自己和信号塔之间的距离。现在小明和信号塔同时给卫星发射信号进行定位,结果信号塔的定位结果和实际结果之间存在误差,**由于信号塔本身位置是确定的,因此卫星和信号塔之间的距离传输误差很容易被确定,然后信号塔就会告诉小明这个误差值,小明根据这个误差值就可以修正自己的位置,然后告诉救援队自己的真实位置了。**这种做法的好处是通过信号塔把所有从卫星到地面标的物之间的误差统一考虑了,但是这样做的前提是信号塔和小明的距离不能太远,这个信号塔其实就是RTK。
为什么RTK和标的物不能距离过远,这是由于当距离较远时,导航卫星收到的电离层和对流层的干扰情况会变的不同,此时无法有效修正误差。后记小明获救后,救援队为了防止再次出现类似事件,于是建立了许多参考基准站并组成了网络。当再有救援活动出现时,可以根据目标的初始位置迅速锁定目标周围的三个距离最近的基站,然后根据三个基站的传输数据定位出带救援人员的精确坐标。
总而言之,单纯通过GPS做定位误差会比较大,但是如果增加适当的辅助措施,则可以有效的减小这种误差。关于导航系统的误差来源,作者简单整理如下图所示:
版权说明:本文由用户上传,如有侵权请联系删除!
- 上一篇:暑期社会实践个人简介怎么写范本(暑期社会实践个人总结)
- 下一篇:最后一页
猜你喜欢:
- 2022-06-10暑期社会实践个人简介怎么写范本(暑期社会实践个人总结)
- 2022-06-10定位对方手机位置怎么弄(定位对方手机位置怎)
- 2022-06-10如何在手机上定位另一台手机(如何在手机上定位另一台)
- 2022-06-10朋友圈定位怎么设置(朋友圈定位怎么)
- 2022-06-10微信附近人定位到别的城市(微信附近人定位到)
- 2022-06-10有没有可以监控老婆手机微信的软件(有没有可以监控老婆手机微信)
- 2022-06-10微信朋友圈怎么自建位置(微信朋友圈怎么位置)
最新文章:
- 2022-06-10绿豆汤是煮时放糖吗(煮绿豆汤要放糖吗详细介绍)
- 2022-06-10卡舒吉事件详细进展(卡舒吉事件)
- 2022-06-10暑期社会实践个人简介怎么写范本(暑期社会实践个人总结)
- 2022-06-10砖建龟池视频(砖 建筑材料)
- 2022-06-10定位对方手机位置怎么弄(定位对方手机位置怎)
- 2022-06-10如何在手机上定位另一台手机(如何在手机上定位另一台)
- 2022-06-10百度提交入口网站(百度网站提交怎样提交)
- 2022-06-10朋友圈定位怎么设置(朋友圈定位怎么)
- 2022-06-10微信附近人定位到别的城市(微信附近人定位到)
- 2022-06-10我只喜欢你胡夏mp3(我只喜欢你 胡夏演唱歌曲)
- 2022-06-10有没有可以监控老婆手机微信的软件(有没有可以监控老婆手机微信)
- 2022-06-10中国红色旅游博览会(中国红色旅游)
- 2022-06-10白醋洗脸的正确美白方法视频(白醋洗脸的正确美白方法教程)
- 2022-06-10微信朋友圈怎么自建位置(微信朋友圈怎么位置)
- 2022-06-10微信朋友圈可以定位到外省吗(微信朋友圈可以定位)
- 热点推荐
- 热评文章

渝公网安备